728x90

분류 전체보기 74

[ML Backend 찍먹하기] #1. 간단하게 Bert모델 학습시키기(feat. Optuna)

우선 모델이 필요할 것 같아서 새로 모델 빠르게 학습시켜서 저장했다.감정분류 모델이라 데이터셋은 네이버 영화리뷰 데이터셋을 학습시켰고, 이전 프로젝트에서 거의 비슷하게 진행했기 때문에, 참고해서 했다. + 위키독스에 자세히 잘 나와있길래 거의 그대로 진행했다.이번 토이프로젝트는 아주 간단하게만 진행할 건데, 저장한 모델을 FastAPI로 만들어서 간단한 웹사이트에서의 Backend와 소통하는것을 목표로 하고 있다. (참고)https://young3060.tistory.com/entry/NLP-BERT%EB%A1%9C-%EB%84%A4%EC%9D%B4%EB%B2%84-%EC%98%81%ED%99%94-%EB%A6%AC%EB%B7%B0-%EA%B0%90%EC%A0%95%EB%B6%84%EB%A5%98%ED%..

ML 2025.05.11

[C++] 18185. 라면사기

https://www.acmicpc.net/problem/18185 처음에는 단순한 그리디 문제라고 생각해서, 3번방법을 최우선으로 문제를 풀었다가 완전히 막혀버렸다계속 고민하다가 찾아보니, 반례가 있다더라반례 케이스를 설명해보자면, 3번 방법을 사용할 수 있는 상태인데, i+2보다 i+1이 더 큰 경우이다 예시A[4] = 1 2 1 1 3번 방법 우선시A[0], A[1], A[2] -> 7A[1], A[3]이 1씩 남으므로 -> 3 * 2 = 6==> 7 + 6 = 132번 방법 우선시A[0], A[1] -> 5A[1], A[2], A[3] -> 7==> 5 + 7 = 12이렇게 반례가 생겨버린다.. 안 찾아봤으면 절대 몰랐을듯.. 아무튼, 이 반례를 적용해주려면 i+2랑 i+1 크기 비교하고, i+..

유의미한 변수 선택하는 방법 (RFE, RFECV)

머신러닝 데이터를 다루다 보면 너무 많은 변수들을 다룰 때가 있다. 이 변수들을 전부 머신러닝에 학습시킨다면 오히려 예측에 혼선을 주는 변수가 있을 수도 있고, 학습속도 또한 느려질 것이다. 따라서 타겟 예측에 유의미하게 사용될 수 있는 변수들을 선택해줘야할 것이다. 하지만, 당최 변수들을 쳐다봐도 이 변수가 예측에 유의미할까를 판단하는 것은 쉽지않은 것 같다. 이때 변수의 중요도를 보고 선택하는 방법을 사용한다 변수의 중요도를 보는 방법은 여러가지이지만, 이번 포스팅에서는 RFE와 REFCV에 대해 알아보고자 한다. RFE (Recursive Feature Elimination) : 변수 선택 방법으로, 원하는 개수의 변수들이 남을 때까지 학습을 반복하며 유의미하지 않은 변수들을 제거해 나가는 Back..

ML 2024.04.02

[C++] 20291. 파일정리

map을 이용하면 쉽게 풀리는 구현문제이다. string 입력에서 어떻게 해야할지만 안다면 바로 풀린다. 문자열 일부를 return하는 substr함수를 이용해서 '.' 다음 글자부터 끝까지 return받는다. 그렇게 받은 값을 맵에 저장한다. (default가 오름차순이므로) #include #include using namespace std; int main(void) { ios::sync_with_stdio(false); cin.tie(NULL); cout.tie(NULL); int N; cin >> N; map m; for(int i=0; i> t; string extension = t.substr(t.find('.')+1); m[extension]++; } for(auto x : m) cout

[C++] 16926. 배열 돌리기1

아.. 인덱스가 너무 헷갈리고 회전 레이어 다루는게 어려워서 어려운 문제가 아니었는데도 좀 고전했다.. 다시 풀어봐야할 것 같다ㅜㅠ (확실히 구현에 좀 약한듯..) 우선, 회전 레이어 갯수는 N 또는 M 중 작은 값을 2로 나눈 값과 같다. 시작점은 (0,0), (1,1) ...로 되므로 이를 이용하여 시작점을 잡아주면 된다. 우선, 회전하는 방법을 잘 생각해야 하는데, 시작점을 0,0으로 잡았기 때문에 이를 temp 변수에 넣어주고 시작점부터 채워주기 시작한다. [ 시작점부터 채우는 방향 ] 맨 윗줄 : 오 -> 왼 방향으로 채워준다 가장 오른쪽 열 : 아래 -> 위 방향으로 채워준다 맨 아랫줄 : 왼 -> 오 방향으로 채워준다 가장 왼쪽 열 : 위 -> 아래 방향으로 채워준다. 이 과정을 각 레이어마..

[C++] 16234. 인구이동

이번 문제는 bfs문제이다. 백준의 토마토와 비슷한 문제이다. 토마토도 괜찮은 문제이니 한번 풀어보길 추천한다! -> 토마토 문제 바로가기 전체 영토 중 방문하지 않은 영토부터 차례대로 순회를 시작한다. 큐에 넣어놓고 주변 영토(상하좌우)를 방문해보며 연합이 될 수 있는지 조건을 체크한다. 연합이 될 수 있으면 bfs용 큐와 연합들을 저장할 벡터에 저장해주고 총합을 더해준다. (나중에 인구수 조정을 위함) 연합이 만들어졌다면 (2개이상) 인구수를 조정해준다. 두번째 for루프에서 방문을 검사하는 코드, 즉 bfs를 실행하는 코드는 같은 날 다른 연합을 또 만들어야하므로 연합을 저장해주는 벡터를 초기화해준다. 두개의 for루프가 끝나고 연합이 아직 남아있다면 days를 증가시켜주고 위 과정을 연합이 만들어..

[C++] 17413. 단어 뒤집기2

오랜만에 string 문제를 들고와봤다. 문제는 쉬운편인데, 나는 진짜 단순하게 풀었다. 조금 더 생각하면 깔끔한 코드가 나올 것 같기도 한데, 일단 queue에 무지성으로 때려박고 tag와 단어, 공백 3가지 유형으로 넣어주었다. 출력할때는 단어인 경우에만 reverse를 이용해서 출력해주었다. #include #include #include using namespace std; /* a-z, 0-9, ,(두개 개수 같음) 태그 말고 단어만 뒤집어서 출력 태그는 안으로 길이는 3이상, 공백 포함가능 태그와 단어사이에는 공백 없음 --- // inputs string tag; string words; queue q; if (input starts '') { tag += input; } q.p..

[프로그래머스/C++] LV2. 기능개발

오랜만에 문제 풀기~ 처음에는 큐를 이용해서 문제를 풀까 생각했는데, 더 간단하게 풀릴것같아서 단순 구현으로 풀었다. 어차피 days는 계속 누적되고, cnt만 배포될때마다 확인 후 reset시켜주면 되는거라 while문으로 progress + speed * days가 100 넘을때까지 days를 누적시켜주고, 이후 배포되는 친구들을 위해 cnt가 0이 아닐 때, answer에다가 push해준다. 마지막 값이 누락되는 것을 방지하고자, 루프를 다 돌고 나왔을 때 cnt가 0이 아니면 answer에 push 해준다. #include #include using namespace std; vector solution(vector progresses, vector speeds) { vector answer; i..

경사하강법(Gradient Descent Algorithm)과 Optimizer 종류 정리 2️⃣

이전 포스팅에 이어 RMSProp과 Adam에 대해 계속해서 알아보겠다!📌 Gradient Descent Algorithm이란?📌 Batch gradient descent에 대해서--- momentum 이용1️⃣ Momentum2️⃣ Nesterov Momentum--- learning rate 이용3️⃣ AdaGrad(NEW!) 지수가중이동평균이란?4️⃣ RMSProp5️⃣ Adam  RMSProp를 알기 이전에 "지수가중이동평균"에 대해 알아야한다. 💡 지수가중이동평균이란? 이전의 값과 현재의 값에 다른 가중치 (두 가중치의 합은 1)를 주는 방식이다. 이 식에서 β가 Hyper parameter이고, 보통 0.9를 사용한다.β=0.9일때, 이전값(최근값들)인 Vt-1에..

ML 2024.01.28

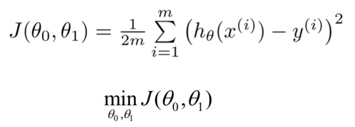
경사하강법(Gradient Descent Algorithm)과 Optimizer 종류 정리 1️⃣

이번 포스팅에서는 경사하강법이 무엇인가에 대한 것과 Optimizer의 여러 종류들에 대해 알아보고자 한다.목차는 대충 아래와 같다.📌 Gradient Descent Algorithm이란?📌 Batch gradient descent에 대해서--- momentum 이용1️⃣ Momentum2️⃣ Nesterov Momentum--- learning rate 이용3️⃣ AdaGrad4️⃣ RMSProp5️⃣ Adam  📌 Gradient Descent Algorithm먼저 경사하강 알고리즘이란 함수의 변화도가 가장 큰 방향으로 이동하고자 하는 알고리즘으로,목적함수 J가 있을 때, 이 값을 최소화 하는 θ를 구하는 알고리즘이다.( 여기서 θ는 learnable parameter이고, α..

ML 2024.01.27
728x90